PSP wrote:
你回之前有除除看嗎?...(恕刪)
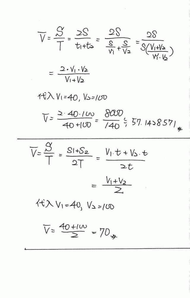
你回之前有看能源局的歐盟平均值的算法嗎,有看你就會知道了

我沒打錯"就把模擬測市區的公里數 加 測高速的公里數加總後再除(市區加高速模擬的油耗公升)"
算法引用自能源局,我打的是正解,中文寫公里數就是指行駛(公里數)不是指(公里數/公升)
中文打(公升)就是指油耗幾(公升)

而以上的值只有能源局有資料,但算法一定是這樣的
如果是美國FTP-75測法,能源局是用調合平均數算出平均數的
PS.其實數學有時不是邏輯不好,有時是中文不好,定義看不懂




























































































