先聲明對於榮騰遊戲規則不是100%了解
但是去看過各種網站說明的規則,自己做了一份試算表

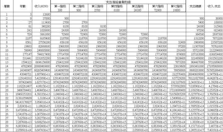
從試算表中得到的個人想法
1. 對於榮騰公司來說,每一層都是賺錢的
2. 公司是有收入的,收入來源來自於會員每個月貢獻4200?
3. 會員真的能用4200換到12萬,只是越領越慢(等待過程中的支出4200*N月,可能讓你為了領12萬花得更多)
4. 對於榮騰公司來說這是可以永續經營的(只要會員不離不棄每個月固定貢獻4200)


...............
Andy2017 wrote:
你哪隻眼睛看到我在...(恕刪)



F430 你要求的

法拉利中最美的一代(個人認為啦),這台似乎有點久了,還是你想看新款的.

2007年 台北101台灣蒙地拿車展當天購入,因為有車主臨時can單,我接手,不到一年就交車.
2008年交車
黑色外觀
紅色內裝(皮椅縫線也是)
硬頂
當時高雄唯三輛F430其中一台,大家都認識的.

2009 高雄 戀戀福懋 台灣蒙地拿酒會 蒙地拿請車主贊助三輛F430,當天一黑(硬頂)、一黑(敞篷)及一紅(敞篷),從一心路金礦出發到酒會,這是其中參加的硬頂那台,還需要我繼續砲你嗎?我夠資格砲直銷了嗎?

(隱私問題,晚上刪圖)
...............

Andy2017 wrote:
歡迎截圖出來......(恕刪)


這之前溜車拍的,細節交代很清楚,說真的你不是我誰,你在大聲什麼,我炮直銷,難道不行?
...............

Andy2017 wrote:
你也可以站在仁愛帝...(恕刪)


刪圖了

你加油,好好做夢,有些人是醒不過來的,我以後看新聞就可以了。
Andy2017 wrote:
補充:
刑法第339...(恕刪)

被騙的人,一覺得自己傻不敢講,二的可能是 你們常講的投資有賺有賠,三是周遭的人都不認同講出來再被笑到爆!現在還沒爆,當然還沒人告,但是,如果遇到我這種,絕對讓騙我的人好看


話說,我也不可能相信
...............
Andy2017 wrote:
我可沒說過 '投資...(恕刪)


飛磚是說榮騰制度是ok,但是4200的費用有問題,另外,這個andy2017說話真的有夠嗆的,這裡是mobile01,不是榮騰一言堂,你講話真的有夠酸的,是有需要這樣嗎?錢沒賺多少,氣場卻不小。

所有直銷在出事之前哪個是有問題的,爆了才發現問題不是嗎?你不如說說前幾頁一件雜牌polo衫外面頂做一件不用500塊,賣8000會不會誇張了點,這種polo衫在各地的工業區的服飾訂做有一堆型錄可以參考。

一包衛生棉賣2000-4000?
如果沒有繼續收新會員,沒有新會員的4200,加上沒有這些高單價的商品,要怎麼繼續發十幾萬的錢給會員,是我們不懂榮騰制度還是?請說明

當所有會員共投入金額5億,但獎金陸續得發出6億,這多出來1億從哪來?如果是政府就是發行貨幣或加稅,政府信用擔保發行的信用貨幣都在貶值了,為什麼你們的虛擬貨能夠不貶值,你知道嗎?這已經可以獲得諾貝爾經濟學獎了,請提名吧
文章分享
評分
評分
複製連結
請輸入您要前往的頁數(1 ~ 41)

今日熱門文章 網友點擊推薦!