工作上遇到難題

請問分別是2.5分、4分、6分、1吋、1吋半等五種錏管

在不同的空氣壓力7、8、9kg時,每種管子每分鐘的流量是多少

或是要去那裡查表?

石梯有夢 wrote:
工作上遇到難題請問分...(恕刪)


是體力流失的學問嗎? 好深奧....也想知道(拿板凳)
http://blog.sina.com.tw/popodiary/

小拔兔 wrote:
是體力流失的學問嗎?...(恕刪)

><有深度的回答,令我無以回答,有請高手指教。
還缺管長....
石梯有夢 wrote:
工作上遇到難題請問分...(恕刪)
by Hagen-poiseuille equation


tupac04131 wrote:
還缺管長.......(恕刪)


問每分鐘流量,不需要管長
需要空氣黏度(但我在算的時候通常都忽略不計
需要直徑(有了
需要圓周率(有了
需要壓力降
這個嘛 ..沒有壓力降呢 ..

我也不會查,對不起= =

--------------------------------

以上當我沒說對不起 ..
我剛剛考慮牛頓流體了 ..

希望有強者可以解答,幫推
重複發文對不起~~~~

1515151515151515151515
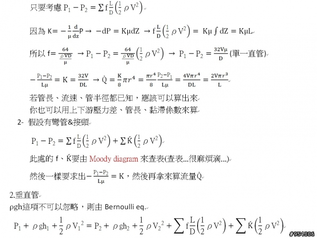
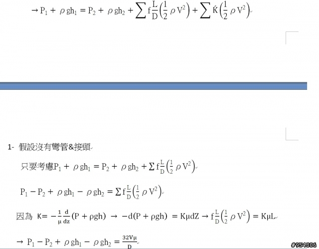
我覺得應該是要用圓柱座標的 Navier-Stokes eq. 來算






以上是假設密度.黏滯係數為常數.內部層流.完全發展.穩態&二維流場所算出來的

實際在應用上應該會有落差

不過你都來這邊"請鬼拿藥單"了~就加減看一下吧

石梯有夢 wrote:
工作上遇到難題


...(恕刪)


你給我你假設的壓降是多少?
還有你的流體?
我可以用CHEMCAD幫你跑

做越久,忘越多;老鳥狀況比我多! wrote:
你給我你假設的壓降是...(恕刪)


這個輕鬆多了...
文章分享
評分
評分
複製連結

今日熱門文章 網友點擊推薦!