0931779549 wrote:
這...我想了一下應...(恕刪)
NAND FLASH不是只有壽終不能寫入才是100%機率
而是他在用的過程,其實就是不斷的出現錯誤了,只是能夠靠機制去修正罷了,
但是機制不是沒有上限的,ECC不是不管錯多少都能救,超過就是無解
大家所使用的系統,只要安裝在SSD,實際上就不可能永遠不故障,只是有沒有察覺到而已.
NAND FLASH的特性因素,他並非恆值等速的情況衰退,
所以才會說大家要重視可靠性.
大家都容易把重點放錯,以為壽命是個數字,或是一個不變得條件,
實際上不同用途跟環境,他會出現的壽命變化就是會不一樣,
壽命就算還不到盡頭,但是錯誤不斷的出現,這樣的資料儲存有意義?
至於SSD不通電這點,其實SSD如果太長時間不通電,資料是會消失的
畢竟他的儲存靠的就是電,平常每一次我們讀取時,就會帶走一些,
通電它才能夠去補充回來,TLC尤其更需要這點,所以他的可靠度是很低的 TLC>MLC>SLC
PE值也是關係到它這個部分能保存多久的一個重點
越新的製成,PE值越低,放著不使用的消失機率就會越高,
電閘是會慢慢被消耗受損,只要它沒辦法有效的區隔,那錯誤自然就一定會有,
甚至於平常在存取,數據就有可能會互相影響,讓對的變成錯誤的.
SSD不光使用一顆flash,但是只要一顆發生嚴重錯誤,
控制器不會管你其他FLASH壽命有多少,它就是會鎖住無法使用,
對消費者來說,這也是一種故障.
總之....Flash真的沒有消費者想的這樣過度簡單,
雖然可以很簡單就說完他的原理,但是那只是為了給User容易了解.
實際上它其實有非常多的東西可以研究或探討.
RAID 0 那段我看不懂你想表達是什麼?或對象是誰?
但我的重點是RAID不是為了硬碟不穩定才發明
應該是要把重點放在主機服務不能中斷的這部分,
並非因為怕硬碟壞所以才需要RAID這技術.
不然家用電腦為什麼不怕壞?不就是因為影響不大,
也沒有不可關機的這種考量,所以才只有服務器幾乎視為標準功能.
況且放著都會壞,這種情況也根本不在任何技術的考量裡頭.
This method is specified in JIS C5003 (General rules for determining the failure rate of electronic components during tests) and
uses the following equation:
Total test time: T (Number of test samples n × Test time t)
r : Number of failures

This is multiplied by a number (coefficient) from Table 1 according to the set confidence level (degree of data accuracy) and number of failures r.
When r = 0, the failure rate can be obtained using the statistical calculation that was used to obtain the values in Table 1.
In this case:


The following describes how to calculate the failure rate based on a specific example.
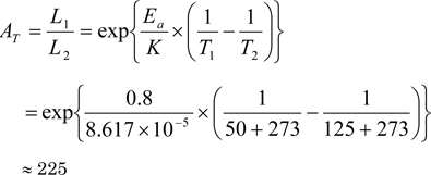
Assume that 100 semiconductor devices are subjected to high-temperature testing (Ta = 125°C, at rated operating voltage) for 2,000h with zero faults.
To find the failure rate, first calculate the acceleration AF (voltage acceleration coefficient AV × temperature acceleration coefficient AT) to obtain the total component hours.
The voltage acceleration coefficient AV can be obtained from the failure rates for actual applied voltage and test voltage conditions. It is assumed that the actual usage voltage is within the rated specification.
Given that the actual usage temperature is 50°C and the typical activation energy of the expected failure mode is 0.8 eV, the temperature acceleration coefficient AT is obtained using the Arrhenius equation as follows:

Acceleration coefficient AF = Voltage acceleration coefficient AV × Temperature acceleration coefficient AT
= 1 × 225
= 225
Given the number of samples n and test time tn for sample number n, the total test time (component hours) is:

Because the number of failures r = 0, given a reliability level of 60%,

Therefore, in this case the estimated failure rate in the field is 20 FIT.
In a similar manner, the failure rate of a device under actual usage conditions can be estimated from the accelerated test data provided that the major failure modes and failure mechanisms for the device are understood.
)































































































